引言
20世紀90年代,激光著色技術開始嶄露頭角,出現在人們的視野。該技術利用激光束直接作用于工件表面,通過控制激光的功率、聚焦度和掃描速度等參數來實現對工件表面進行著色。與傳統著色方法相比,激光加工期間不需要額外添加任何化學試劑,且具有更高的精度、更低的能耗和更短的處理時間。因此,激光著色已成為眾多行業提升產品質量、增強競爭力的首選方法,逐漸取代化學法、陽極氧化、熱處理法等傳統著色方法[1]。與傳統著色方法相比,激光能做到不直接與工件接觸,受益于激光的精確性,在整個加工過程中不會出現定位偏差,所以通過激光可以在高精密需求的區域內工作,繪制所需的標識圖案,在保證零件的性能及需求精度的同時,也保證繪制的圖案具有高質量和持久性,不容易受損。王翰章等[2]通過單脈沖激光掃描和多脈沖兩個階段,在不銹鋼表面上利用不同的激光參數產生同種顏色。張震華等[3]探究了納秒激光在不銹鋼上激光彩色打標的機理。高宏文等[4]利用激光在TC4鈦合金著色后探討其顏色質量,且實現了彩色二維碼的標刻。劉忠民等[5]利用納秒激光在304不銹鋼上著色后探究了其氧化規律。近些年來,隨著激光技術在材料加工領域的廣泛應用,已經成為改變鈦合金表面性質的研究熱點之一。鈦合金由于其高強度、優異的生物相容性以及耐腐蝕性,廣泛應用于航天、醫療等領域[6]。但是,鈦合金表面呈灰色,限制了其在一些需要考慮外觀美觀度的應用領域的利用。通過激光著色,可以在不影響鈦合金內部物理機械性能的情況下,精確控制和改變其表面顏色,從而擴大其應用范圍。近年來,許多研究團隊利用不同類型和參數的激光,對鈦合金進行表面處理,成功實現從淺灰到黑色的多種顏色著色[7]。并通過表面分析手段研究了著色機理,探討了處理參數對表面微觀結構和組成的影響。這些研究結果表明,激光著色技術作為一種有潛力的鈦合金表面改性方法,值得進一步深入研究[8]。本研究以TB2鈦合金為研究對象,利用納秒激光對其表面進行著色處理,改變激光掃描速度在TB2表面制備出不同的顏色,以期獲得顏色變化與激光參數之間關系。
1、激光著色原理
1.1激光與材料之間的相互作用
通常,可以通過兩種方法實現激光在材料上的著色:①激光誘導形成金屬薄膜微結構;②激光誘導形成金屬納米結構[9],兩種方法各有特點。第一種方法是利用激光誘導形成金屬薄膜微結構。當金屬薄膜受激光照射時,表面會形成周期微結構,這種結構能夠反射、散射和吸收不同波長的光,從而顯示出各種顏色。第二種方法是利用激光誘導形成金屬納米結構。在激光作用下,金屬材料會局部熔化并形成納米結構,這些結構對不同波長光具有選擇性吸收和散射,能顯示出豐富的顏色效果。相比于后者,通過激光誘導形成金屬薄膜微結構加工能夠保證成本更低、速度更快的同時,生成的顏色也足夠穩定,因此目前主要采用該方法來實現金屬表面的著色。激光誘導金屬薄膜的工作原理是,通過激光的加熱,金屬材料表面發生氧化反應形成氧化膜。在反應初期,激光的能量被吸收,之后轉變為熱能導致金屬表面的溫度升高,隨著金屬材料的溫度持續升高,氧化反應的速率也會提高,氧化膜會變得更加厚實,同時金屬表面也會更加平滑[10]。
1.2顯色原理分析
關于激光在表面材料作用后的顯色原理,在最開始的研究階段中,LangladeC等[11]認為,其顯現出的顏色只是基材表面上各金屬氧化物自身的顏色。但隨著越來越多的學者在該方面的探究,發現在著色過程中能夠產生的顏色種類數量實際上要遠多于相對應的金屬氧化物種類。DiamantiMV等[12]對激光作用后的金屬表面進行進一步研究后發現,可以通過干涉現象來解釋物體激光作用后表面可呈色的原因。總體來說,這是因為不同顏色氧化物的厚度不同所造成的。

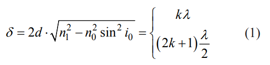
如圖1所示[13],一束光線以平行的方式照射到氧化膜表面時,在表面發生反射現象,氧化膜內部則發生折射現象。其中,光線L2在通過氧化層的同時進行折射,并在下表面發生反射。這部分經過折射的光線會與光線L1在氧化層上的反射光線L1′在空間中相交,形成一束干涉光束。干涉光束是由兩束光線相互疊加形成的,其強度和相位都會發生變化。光線L1′和光線L2′之間的光程差導致了干涉光束的相位差也同時會發生變化,即使它們在傳播中所經歷的光程不同,最終還是會導致干涉光束呈現出不同的顏色。因此,當一束平行光線照射到氧化膜表面時,由于干涉現象的存在,氧化膜會呈現出多種不同的顏色。其關系式可由式(1)表示。

式(1)中,λ為光的波長,δ為光程差;n0為光速在空氣中的折射率;n1為在氧化層的折射率;i0為光的入射角;d為氧化層的厚度,k取整數,則d的表達式為式(2)。

通過式(1)、式(2)可得,當δ=kλ時,干涉是增強的,若δ=(2k+1)λ/2時則干涉會相消。根據式(1),在干涉發生時,哪種波長的光會被加強主要取決于氧化層的厚度,且不同厚度的膜對應不同的顏色。所以能夠推測出,隨著改變觀察氧化層的角度,所看到的氧化膜顏色也會相應發生變化。
2、實驗設備及材料
2.1實驗設備
本研究采用的激光設備是光纖激光器(上海雕途實業有限公司),具體參數如下:輸出波長為1064nm,輸出功率為0~60W可調節,脈沖的重復頻率可以連續調節在20~200kHz之間,激光的脈寬設定為10ns。該激光器的工作焦距為31.9cm,能夠掃描的工作區域大小為150mm×150mm。該激光系統可調整激光打標的速度和填充方式,激光掃描方式如圖2所示。同時,還可以調整激光的重復頻率以及輸出功率等重要參數。

實驗中使用光譜儀(HR4000CG-UV-NIR型,海洋光學公司)來測量著色后反射光譜,用來分析顏色特征。測量過程中采用D65標準光源,測量的波長為可見光范圍380~780nm。依據反射光譜,通過計算獲得2°視場下的CIE1931色度坐標值來更好地表征顏色。
2.2實驗材料
實驗材料是2mm厚的TB2鈦合金(Ti-5Mo-5V8Cr-3Al),樣品尺寸為50mm*50mm,其表面成分可見表1。TB2材料具有優異的激光吸收性能,可以在激光照射下快速實現著色,而且可以實現多種顏色的著色效果。實驗前需對樣品進行超聲波清洗,因為樣品表面若有切削后的殘留物或是雜質吸附物,可能會直接影響到實驗結果,例如會出現顏色失真甚至整個著色區域著色結果不均勻的現象。

3、結果與分析
3.1激光參數對著色的影響
激光著色需要準確地調控激光的各個參數,各參數的改變都可能會對著色效果造成影響。例如在正常作用下,各參數保持不變,加大激光的功率可能會對金屬基材造成熔化和去除現象。激光與金屬材料表面的相互作用原理是基于光化學反應,這是一個極其復雜的過程。激光與金屬材料相互作用時,會引發表面結構的改變和化學反應,從而產生不同的顏色。理論上,通過調整激光參數可以實現對金屬表面的精細控制和定制化著色。本研究在功率P=4W、頻率f=200kHz、線間距d=1μm條件下,通過改變激光掃描速度,經大量實驗在TB2表面制備出一系列顏色,如銀色、灰綠色、藍色、紫色、金色等豐富的色相,如圖3所示僅列出其中的8種顏色。當激光的掃描速度較慢時,材料表層會吸收更多的激光能量,進而促使氧化反應更明顯。而隨著掃描速度的提高,激光能量的吸收減少,伴隨著能量密度與工作時間下降,會降低激光與基材表面反應的氧化程度,最終所生成的氧化膜也會隨之變薄[14],不同厚度的氧化膜對入射光有著不同波段的吸收與反射,從而形成豐富的顏色特征。

3.2表面形貌的表征
通過使用數字顯微鏡觀察金屬材料表面得到如圖4的實驗結果。未經激光掃描的鈦合金表面較為平整(如圖4a)。隨著激光開始在表面作用,在不同掃描速度下的基材表面形貌發生了變化。圖4b是在相對較高的掃描速度下得到的表面形貌,整體來說變化其實不是很明顯,表面留有輕微的激光掃描痕跡。而圖4c與圖4d在使用相對較小一些的速度參數時,表面形貌與圖4a相比有明顯的激光掃描痕跡,這是因為基材表面與激光的相互作用并非為恒溫,這會使得激光的光斑中心區域與周圍區域也非等溫。在非等溫作用過程中,激光的掃描速度越低,使得整體能量密度越大,最終會不均勻地完成整個氧化過程[15]。

3.3著色規律分析
人們對顏色的感知是一個復雜的過程,涉及諸多方面,包括光學、光化學、視覺生理和視覺心理。當光線經過物體的反射或透射后進入人眼時,會激活視覺系統,讓人們產生對物體亮度和顏色的感知。這些感知信息會傳送到大腦的中樞,經過處理后形成顏色的知覺。然而,在日常生活中,由于周圍環境的不斷變化,即使觀察者具有豐富的顏色觀察經驗和敏銳的判斷力,所得到的觀測結果仍然會具有主觀性和受環境變量影響的隨機性。為了提取相對客觀的顏色數據,以便于分析顏色變化,因此需要選擇合適的設備來提取顏色信息及選擇合適的顏色空間對顏色進行評估[16]。本實驗選用CIE1931色度坐標來表征顏色的色度特征。CIE1931色度坐標是一種用于描述和表示顏色的坐標系統,由國際照明委員會(CIE)于1931年提出。它是基于人眼對不同波長光的感知和顏色感知的實驗結果而建立的,將不同的顏色表示為坐標點,從而在色度圖上繪制出不同顏色的分布,顏色的色度坐標可以從其光譜功率分布中計算出來。
為了更好地探究著色后顏色的變化規律,本研究選取掃描速度在210~280mm/s范圍之間,間隔10mm/s,制備8種顏色,測量其反射光譜曲線如圖5所示。不同光譜曲線代表了不同顏色在入射光源照射后樣品對入射光選擇性吸收及反射的結果。僅從反射光譜曲線特征不能直觀地看出顏色的特征。通常,利用公式[17]計算其色度坐標列入表2,并將其繪制在圖6中。通過圖6分析1號樣品至8號樣品的顏色變化規律,可以看出所產生的顏色是從黃色向藍紫色變化過渡,最后再回到黃色的規律。圖6樣品1到8色度坐標點所圍成色域范圍體現出激光處理TB2顏色豐富性,這使得其實現實際著色圖案表達成為可能。


在激光著色過程中,會發生高溫氧化現象。基材表面與空氣中的氧氣發生接觸,在接觸區域,氧氣會被輸送到正在生成的氧化膜中。隨著氧氣逐漸減少,若想進行下一步的氧化只能通過擴散在氧化膜中的氧離子和金屬離子來實現[18]。當掃描速度不同時,激光的持續時間隨之不同,光與熱的氧化過程會在不同的時間內完成,因此氧分子的擴散深度不同,氧化膜的厚度不同。在不同厚度的氧化膜中入射光發生復雜的表面反射、吸收與多重內反射的光學作用,從而形成不同顏色外觀。激光可以控制材料表面只限于很薄的一層進行著色處理,不會影響材料內部結構和性能。因此顏色的穩定性更好,不會因時間或環境變化而褪色。使用激光直接將顏色信息轉化為材料表面層的化學成分或結構變化。與其他涂料方法相比,不會因為顏料層厚度或表面處理不均勻導致顏色不一。
3.4激光著色彩色圖案
激光著色彩色圖案是一種利用激光技術實現的圖案展示方式,它在許多領域具有廣泛的應用前景。與傳統的彩色打印機不同,激光著色形成的多彩圖案具有更高的耐久性和穩定性。激光光束的高能量和高溫度使得圖案在著色過程中能夠更好地與材料結合,形成更加牢固的圖案。相比之下,彩色打印機所使用的墨水或顏料往往容易受到外界環境的影響,導致圖案的褪色或模糊。因此,激光著色形成的圖案具有更長的使用壽命和更好的抗污染能力,適用于需要長時間保持圖案完整和清晰的場景。圖7展示了在尺寸為50mm×50mm、2mm厚的TB2鈦合金原材料表面上使用不同的激光參數同時進行著色,形成的多彩圖案。圖7a是在TB2鈦合金上的呈色效果,圖7b為所生成的彩色圖案細節圖。

4、結論
本研究通過改變激光的掃描速度成功獲得了包括黃色、紫色和藍色等多種顏色樣本。掃描速度是影響鈦合金表面氧化膜著色效果的重要因素之一。隨著掃描速度的增加,可以觀察到顏色逐漸從黃色到藍色過渡到紫色最后再回到黃色,這是由于氧化膜的厚度和光學干涉效應的變化所導致的。另外,在激光處理樣品的微觀特征中,可以觀察到樣品表面的氧化過程會引起TB2表面的不平整性,不均勻的表面亦會造成入射光反射干涉等作用的變化,結合激光處理基材的表面形貌特征研究顏色也將是未來有意義的研究方向。
參考文獻
[1] LIU H, LIN W, HONG M. Surface Coloring by Laser Irradiation of Solid Substrates [J]. APL Photonics, 2019, 4: 051101-051113.
[2] 王翰章, 殷延蕊, 竇志強, 等. 不銹鋼的激光著色研究[J]. 激光與光電子學進展, 2023, 60(9): 342-347.
WANG Han-zhang, YIN Yan-rui, DOU Zhi-qiang, et al. Study on Laser Coloring of Stainless Steel [J]. Advances in Laser and Optoelectronics, 2023, 60(9): 342-347.
[3] 吳章平, 徐良文, 姚路, 等. 基于納秒激光誘導不銹鋼 表面著色的技術研究[J]. 激光與光電子學進展, 2020, 57(19): 162-167.
WU Zhang-ping, XU Liang-wen, YAO Lu, et al. Study on Nanosecond Laser Induced Surface Coloring of Stainless Steel [J]. Advances in Laser and Optoelectronics, 2019, 57(19): 162-167.
[4] 高鴻志. 金屬表面激光著色質量評價及彩色條碼標刻技術研究[D]. 濟南: 山東大學, 2019.
GAO Hong-Zhi. Quality Evaluation of Laser Coloring on Metal Surface and Research on Color Barcode Marking Technology [D]. Jinan: Shandong University, 2019.
[5] 劉忠民, 郭亮, 張慶茂. 納秒激光不銹鋼著色過程中的 熱作用及氧化規律[J]. 應用激光, 2017, 37(4): 563-568. LIU Zhong-min, GUO Liang, ZHANG Qing-mao. Thermal Action and Oxidation Rule of Nanosecond Laser Stainless Steel Coloring Process [J]. Applied Laser, 2017, 37(4): 563-568. [6] 陳飛, 周海, 李偉, 等. 鈦合金表面Ti-Al合金擴散層的 摩擦性能研究[J]. 摩擦學學報, 2007, (3): 210-213.
CHEN Fei, ZHOU Hai, LI Wei, et al. Tribological Properties of Diccfused Layer of Ti-Al Alloy on Titanium Alloy Surface [J]. Tribology, 2007, (3): 210-213.
[7] 趙宏亮. 金屬激光彩色打標技術研究[D]. 北京:北京 工業大學, 2008. ZHAO Hong-liang. Research on Metal Laser Color Marking Technology [D]. Beijing: Beijing University of Technology, 2008. [8] 柏鋒, 范文中, 李陽博, 等. 光斑重疊率對飛秒激光硅 材料表面著色的影響[J]. 中國激光, 2016, 43(7): 147- 153.
BAI Feng, FAN Wen-zhong, LI Yang-bo, et al. Effect of Spot Overlap Rate on Surface Coloring of Femtosecond Laser Silicon Materials [J]. Chinese Journal of Lasers, 2016, 43(7): 147-153.
[9] SKOWRO?SKI ?, ANTO?CZAK A J, TRZCINSKI M, et al. Optical Properties of Laser induced Oxynitride Films on Titanium [J]. Applied Surface Science, 2014, 304: 107-114.
[10] 陸治國. 中國激光近10年的應用發展[J]. 中國激光, 1984, (10): 577-583. LU Zhi-guo. Application and Development of Laser in China in Recent 10 Years [J]. Chinese Journal of Lasers, 1984, (10): 577-583.
[11] LANGLADE C, VANNES A B, KRAFFT J M, et al. Surface Modification and Tribological Behavior of Titanium and Titanium Alloys after YAG-laser Treatments [J]. Surface & Coatings Technology, 1998, 100-101(14): 383-387.
[12] MARIA Diamanti, BARBARA Del Curto, MARIAPIAPedeferri. Interference Colors of Thin Oxide Layers on Titanium [J]. Color Research and Application, 2008, 33(3): 221-228.
[13] 殷延蕊, 王翰章, 盧景琦. 能量注量對鈦板激光著色 的顏色變化影響研究[J]. 激光與紅外, 2023, 53(1): 27-33. YIN Yan-rui, WANG Han-zhang, LU Jing-qi. Effect of Energy Injection on Color Change of Laser Coloring of Titanium Plate [J]. Laser and Infrared, 2019, 53(1): 27- 33.
[14] 沈濤, 李健, 陳實, 等. 表面著色的顯微測量方法研究[J]. 江蘇科技信息, 2021, 38(28): 43-48. SHEN Tao, LI Jian, CHEN Shi, et al. Research on Microscopic Measurement Method of Surface Coloring [J]. Jiangsu Science and Technology Information, 2021, 38(28): 43-48.
[15] 李云龍, 李建美, 王愛群, 等. 激光誘導Ti-6Al-4V鈦 合金表面著色研究[J]. 激光與紅外, 2017, 47(6): 674- 679. LI Yun-long, LI Jian-mei, WANG Ai-qun, et al. Study on Surface Coloring of Ti-6Al-4V Titanium Alloy Induced by Laser [J]. Laser & Infrared, 2017, 47(6): 674-679.
[16] 王輝, 呂艷, 張凱. 適于木材種類識別顏色空間的研究[J]. 林業機械與木工設備, 2009, 37(1): 20-22. WANG Hui, LV Yan, ZHANG Kai. Research on Color Space Suitable for Identifying Wood Species [J]. Forestry Machinery and Woodworking Equipment, 2009, 37(1): 20-22.
[17] Roy S Berns. 顏色技術原理[M]. 北京: 化學工業出版社,2002. Roy S Berns. Principles of Color [M]. Beijing: Chemical Industry Press, 2002.
[18] 吳勇華, 楊保平, 劉忠念, 等. 皮秒光纖激光器誘導不銹鋼表面著色工藝[J]. 中國表面工程, 2016, 29(5): 80-86.
WU Yong-hua, YANG Bao-ping, LIU Zhong-nian, et al. Coating Process of Stainless Steel Induced by Picosecond Fiber Laser [J]. China Surface Engineering, 2016, 29(5): 80-86.
主要作者
劉壯(1979年-),博士,教授,碩士生導師;主要研究方向為功能材料的智能制備技術及裝置。
Prof. LIU Zhuang, born in 1979. He got the doctor degree and now is a master tutor. His main research directions are intelligent preparation technology and device of functional materials.
無相關信息
